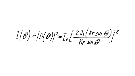
Die Fraunhofer-Theorie beschreibt den Teil der Lichtablenkung, der ausschließlich durch Beugung zustande kommt.

Fällt Licht auf ein Hindernis oder eine Öffnung, so kommt es zu Beugungs- und Interferenzerscheinungen. Ist das einfallende Licht parallel (ebene Wellenfronten), so spricht man von Fraunhofer-Beugung.
Dies ist immer der Fall, wenn die Lichtquelle im Unendlichen liegt oder durch eine Linse dorthin „verschoben“ wird. Da für ausreichend große Partikel die Lichtablenkung durch die Beugung dominiert wird, kann die Fraunhofer-Theorie zur Partikelgrößenmessung bis in den unteren Mikrometer-Bereich herangezogen werden. Ein großer Vorteil der Fraunhofer-Theorie besteht darin, dass keine Kenntnisse über die optischen Eigenschaften des untersuchten Materials notwendig sind.

FRITSCH Software
Das eigentliche Ergebnis einer Partikelgrößenmessung entsteht erst in der Auswertung über die mitgelieferte FRITSCH Software. Dabei kommen je nach Partikeleigenschaften und Anforderungen zwei gängige Auswertungstheorien zum Einsatz: die Fraunhofer-Theorie für größere Partikel, deren genaue optische Parameter nicht bekannt sind, und die Mie-Theorie für kleinste Partikel mit bekannten optischen Parametern. In der FRITSCH Software können Sie beide Theorien ganz einfach anwählen.